Основы технического анализа, Г.П. Самарина, С.Е. Дорошко, Учебно-методическое пособие

Тема 8. Теория индексов. Индексы Англии, России, мировые

Индексы "Financial Times" (FT)

Методика расчета индекса Российской Торговой Системы (РТС)

Индексы "Financial Times" (FT).

Индексы "Financial Times" - первые европейские индексы, которые начала рассчитывать в 1935 г. газета "Financial News". Сегодня они представляют собой систему фондовых индексов Соединенного Королевства, разрабатываемых популярной газетой "Financial Times", (выкупившей "Financial News") и Лондонской фондовой биржей. Наиболее известны три индекса FT: FTSE-30, FTSE-100 и индекс FTSE Evrotrack охватывающий 200 ведущих европейских компаний.

Индекс обыкновенных акций FTSE-30 первоначально назывался британским индустриальным. По методу расчета является среднегеометрическим. Все входящие в него акции, независимо от капитализации, признаются равнозначными.

Расчет производится путем умножения цен акций друг на друга (при этом текущая цена каждой акции - Pi делится на свою стоимость в базовом периоде - Piбаз.), и затем извлекается корень 30-й степени.

(8)

Преимуществом подобной методики расчета является возможность безболезненного внесения изменений в выборку при выбытии той или иной компании. Но имеющиеся недостатки в модели расчета не позволяют индексу стать надежным инструментом для принятия решений при управлении портфельными инвестициями.

Самый популярный индекс этого семейства FTSE-100. Среди профессионалов более известен как "Футси". Его список включает акции ста ведущих британских компаний, котируемых на Лондонской фондовой бирже. Доля акций компаний, включенных в ею выборку, как правило, составляет более 70% в общем, объеме капитализации фондового рынка Великобритании. Считается, что именно этот индекс отражает движение типичного институционального портфеля.

Является среднеарифметическим взвешенным индексом, т. е. цена акции эмитента (Pi), входящего в выборку (Ni), взвешивается по объему всего выпущенного акционерного капитала (N).

(9)

Методика расчета индекса Российской Торговой Системы (РТС).

Индекс РТС. Индекс РТС является единственным официальным индикатором Российской Торговой Системы. Индекс рассчитывается один раз в 30 минут в течение всей торговой сессии, начиная с 12:00.

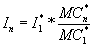
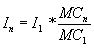
Расчет индекса. Индекс на расчетное время (In) рассчитывается как отношение суммарной рыночной капитализации акций (MCn), включенных в список для расчета индекса, к суммарной рыночной капитализации этих же акций на начальную дату (MC1), умноженное на значение индекса на начальную дату (I1):

( 10)

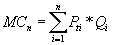
MCn - сумма рыночной капитализации акций на текущее время:

, ( 11)

где Pti - цена i-той акции на расчетное время t,

Qi - количество акций соответствующего наименования, выпущенных эмитентом на текущую дату,

n - число наименований акций в списке, по которому рассчитывается индекс

Начальное значение индекса :

Дата: 31 декабря 1997 года 18:00.

I1 - 396.858.

MC1 - $ 71 030 346 346.9

Определение цены i-той акции (Pi).

Расчет цены акции в РТС осуществляется на основе отчетов о сделках, введенных в торговую систему участниками торгов. Для расчета используются исходные данные за период времени 60 минут.

Цена i-той акции на момент времени t рассчитывается следующим способом:

( 12)

где n - число отобранных для расчета сделок, Pik - цена k-той сделки по i-той акции, Qik - объем k-той сделки по i-той акции.

Если за период времени 60 минут в торговую систему не было введено ни одного отчета по сделкам по i-той акции, то в качестве цены i-той акции используется значение на момент времени t-1.

Все цены указаны в долларах США. Если оператор устанавливает цену в рублях, то при расчете цены она пересчитывается в доллары США по курсу Центрального Банка Российской Федерации на соответствующий день.

Список акций. Список соответствует списку торговой системы РТС.

Изменения в списке акций. При изменении списка акций на n-дату индекс рассчитывается с использованием капитализации (МС*n) по новому списку.

Для предотвращения скачка, обусловленного расчетами по новому списку, производится расчет капитализации (МС*n-1) по новому списку на (n-1) - дату. Значение МС*n-1 используется в дальнейшем в качестве капитализации начального дня (MC1). В качестве значения индекса на начальную дату (I*1) используется значение индекса предыдущей даты (In-1).

( 13)

Контроль и порядок внесения изменений в методику расчета. Общий контроль и внесение изменений в методику расчета индекса осуществляется Информационным Комитетом РТС.

Всемирные индексы.

В условиях интернационализации портфельных инвестиций в конце 80-х годов на рынке появился индекс Всемирной серии, состоящий из 11 региональных индексов. В его расчетах принимаются во внимание 36 отраслевых индексов, 2,5 тыс. акций из 24 стран мира. Разработкой серии занимаются "Financial Times",американский инвестиционный банк "Голдман Загз" и компания "Каунти Натвест секьюритиз".

Модель расчета базируется на среднеарифметической взвешенной методике.

(14)

Индекс интересен степенью охвата и в этой связи может быть сравним лишь с Международным индексом Морган Стенли и Первым Бостон Юромани Индексом.

Пример расчета индексов, по выше описанным методикам. Использовались в приведенных примерах цены 10 акций ведущих российских компаний, представляющих базовые отрасли экономики – энергетику, нефтегазовый комплекс, металлургию, связь, машиностроение.

Данные примеры наглядно демонстрирует, как можно самим вычислять стандартные популярные индексы, а также создавать и рассчитывать свои. При создании своих индексов следует учитывать вышеперечисленные достоинства и недостатки методик расчетов индексов. В настоящее время благодаря сети Internet вы имеете возможность бесплатно получать данные о всех акциях на базе которых строятся популярные индексы или Ваши индексы. Единственное ограничение эти данные публикуются с опозданием от 20 до 60 минут.

Ниже приведена сводная таблица расчетов популярных индексов.

_EESR

_EESRP

_GAZP

_IRGZ

_LKOH

_MSNG

_NKEL

_NTMK

_RTKM

_SNGS

DJIA

S&P

FTSE-30

NYSE

Ni акций

1000

300

1500

500

2000

1000

1200

1600

700

900





Всего акций

10700














Базовая дата

0.22

0.2

0.66

0.3

14.2

1.37

6.7

0.07

4

0.8

25.5

100.0

10.0

40.0

01.01.97

0.22

0.2

0.65

0.3

14.3

1.36

6.42

0.08

3.9

0.8

25.2

98.7

9.9

39.8

02.01.97

0.21

0.2

0.6

0.3

13.8

1.35

6.68

0.07

3.9

0.8

24.9

96.4

9.6

39.0

03.01.97

0.21

0.2

0.61

0.3

13.7

1.36

6.55

0.07

3.9

0.8

24.8

97.8

9.8

38.8

04.01.97

0.216

0.2

0.61

0.3

13.8

1.37

6.55

0.08

4

0.9

25.1

99.6

10.0

39.2

05.01.97

0.23

0.2

0.62

0.3

14.4

1.41

6.68

0.08

4.1

0.9

25.8

101.9

10.2

40.5

06.01.97

0.23

0.2

0.64

0.3

14.5

1.42

6.66

0.08

4.1

0.9

26.0

102.7

10.3

40.8

07.01.97

0.23

0.2

0.66

0.3

14.5

1.4

6.6

0.08

4.1

0.8

25.9

102.2

10.2

40.7

08.01.97

0.23

0.2

0.66

0.3

14.3

1.41

6.5

0.08

4.1

0.8

25.6

101.2

10.1

40.1

09.01.97

0.228

0.2

0.65

0.3

14.4

1.41

6.37

0.08

4.1

0.8

25.6

100.8

10.1

40.2

10.01.97

0.226

0.2

0.64

0.3

14.6

1.41

6.1

0.08

4.1

0.8

25.4

99.9

10.0

40.2

11.01.97

0.21

0.2

0.63

0.3

14.1

1.37

6.15

0.07

4

0.8

24.8

96.2

9.6

39.1

12.01.97

0.2

0.2

0.64

0.2

14

1.34

5.85

0.07

3.9

0.8

24.3

94.9

9.5

38.5

13.01.97

0.21

0.2

0.65

0.3

14.1

1.35

5.86

0.07

3.9

0.8

24.5

96.2

9.6

38.8

14.01.97

0.206

0.2

0.64

0.3

14.1

1.34

5.9

0.08

3.9

0.8

24.5

95.6

9.5

38.7

15.01.97

0.19

0.2

0.66

0.2

13.9

1.26

5.8

0.08

3.8

0.8

24.1

93.7

9.4

38.3