Основы технического анализа, Г.П. Самарина, С.Е. Дорошко, Учебно-методическое пособие

Тема 6. Теория индексов

Мировые индексы фондового рынка
Построение индексов
Основные параметры индекса
Механизм разработки индекса включает
Критерии, которые учитываются при определении состава выборки
Механизмы расчета индексов
Среднеарифметический метод
Средневзвешенный метод

Метод средней стоимости

Мировые индексы фондового рынка

Фондовые индексы являются важнейшими индикаторами состояния фондового рынка в целом или определенного его сегмента. Комплексные (сводные, композитные) характеризуют общую конъюнктуру рынка ценных бумаг, отраслевые и региональные - конкретные рыночные секторы позволяют выявить наиболее динамично развивающиеся из них. Постоянно поддерживаемая база фондового индекса дает возможность оперативно оценить текущее состояние рынка ценных бумаг, сравнить его с ретроспективой, достаточно объективно отразить динамику развития рынка, выявить и спрогнозировать тенденции. Для участников рынка она позволяет оценить эффективность своей деятельности на рынке, сопоставив ее результаты с показателями рыночного состояния (сравнением темпов роста рыночной стоимости собственных активов с темпами роста фондовою индекса), использовать данные индексного анализа для выработки собственной стратегии и тактики. Кроме того, в условиях развитого рынка индексы являются основой рынка фьючерсных и опционных контрактов.

Построение индексов

В наиболее общем смысле индекс представляет собой изменение среднего курса определенной выборки ценных бумаг на определенную дату по сравнению с базовым периодом.

Основные параметры индекса:
Механизм разработки индекса включает:

Прикладная значимость индекса во многом определяется степенью охвата рынка, т. е. репрезентативностью выборки, которая, в первую очередь, зависит от объема капитализации рынка (произведение количества выпущенных ценных бумаг и их рыночного курса на определенную дату).

Критерии, которые учитываются при определении состава выборки:

Индексы статистически более защищены, чем иные финансовые индикаторы (к примеру, средние), т. к., как правило, математические модели расчета индексов предполагают корректировку путем взвешивания по тому или иному критерию (чаще всего цена или капитализация). К примеру, ценовое взвешивание позволяет сгладить влияние на индекс изменения цены акции компании, занимающей сотое место в выборке по сравнению с занимающими более высокое место в индексном списке. При капитализационном взвешивании индексы учитывают количество выпущенных в обращение акций каждого выпуска, в результате чего их значения учитывают ту роль, которую фондовые инструменты той или иной компании играют на рынке ценных бумаг, и более точно отражают конъюнктуру рынка.

Механизмы расчета индексов

Индекс - это комбинация чисел (цен), которая дает общее число, представляющее его составные части. Затем сумма исходных чисел приравнивается к более удобной величине (например, 100 или 1000). Таким образом, индекс является математической суммой входящих в него цен, представленных в виде коэффициента. Индексы цен на акции также можно рассматривать как синтетические портфели рыночных цен без накопленных платежей (т. е. дивидендов). Эти числа нельзя физически купить и продать (т. е. практически нецелесообразно поставлять входящие в индекс компоненты), но многие рынки создают на их основе производные инструменты с наличным расчетом.

Есть три математических способа составления индекса.

Среднеарифметический метод

С помощью метода среднеарифметической индекс рассчитывается путем сложения цен всех наименований входящих в него акций.

(1)

Таким образом, при этом методе предполагается, что приобретается по одной акции всех наименований, составляющих индекс. На деле это не приносит особой пользы при создании портфеля-ориентира, особенно в целях профессионального управления фондами, поскольку такой индекс не учитывает веса акций в зависимости от размера выпуска.

При каждом методе расчета индекса в каждый последующий день используются текущие цены, и результат сравнивается со средней ценой предыдущего дня.

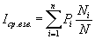
Средневзвешенный метод

Наиболее эффективный и широко используемый сейчас метод - это средневзвешенный метод.

Он заключается в умножении цены акции на количество выпущенных акций (Ni), деленного на общее количество акций (N), входящих в индекс и сложении результатов.

(2)

Следовательно, это способствует лучшему воспроизведению портфеля, поскольку фактически здесь устанавливается равная в процентном отношении инвестиция в каждую компанию, акции которой входят в индекс. Таким образом, любое изменение цены акции компании с большей капитализацией оказывает более значительное влияние на изменение значения индекса. Необходимо учесть, что при корпоративных действиях в отношении акций - компонентов индекса (например, бонусных эмиссиях и выпусках прав) в индексы нужно вносить поправки.

Метод средней стоимости

Третий метод - это метод средней стоимости (или среднегеометрической величины), который основан на предположении, что инвесторы вкладывают одинаковую сумму в каждую ценную бумагу.

При расчете по этому методу, как и по среднеарифметическому, берутся только цены акций, но затем они перемножаются между собой и из результата извлекается корень n-ной степени

(3)

где n - количество ценных бумаг в индексе.

Хотя этот метод хорош в начале, он предполагает, что постоянно сохраняются те же позиции (с точки зрения числа акций, а не стоимости инвестиций) и, соответственно, со временем становится нереалистичным для целей создания портфеля-ориентира (конечно, если цены всех акций не меняются одинаковыми темпами).

Индексы фондового рынка можно использовать как показатель изменения рынка (или по меньшей мере какой-то его части), что позволяет инвесторам определить тенденцию. Они также служат индикаторами текущего настроения рынка. Но важнее всего то, что они дают ориентир, с которым инвесторы могут сравнивать эффективность своих собственных портфелей как с известной инвестиционной базой.

Благодаря своим характеристикам, в экономически развитых странах фондовые индексы уже давно зарекомендовали себя не только как оперативные индикаторы состояния фондового рынка, но и как важнейшие макроэкономические показатели. Наибольшее распространение получили:

в США:

в Германии:
в Англии:
во Франции:
в Японии: